Monday biasa disingkat MON. Sebagai catatan Google Adwords mencatat ada 49500 pencarian dalam sebulan tentang bahasa inggrisnya sekolah dasarJika sudah demikian dimanakah guru sekarang ini sampai-sampai hampir ada 50000 orang mencari terjemahan makna sekolah dasar.
What Date Is It Today Terjemahan Dalam Bahasa Indonesia Dalam Sebuah Kalimat Dalam Bahasa Inggris
Kalaupun kamu mau menggunakan breakfasting yang benar adalah breaking the fast.

Date bahasa inggrisnya adalah. Date is a very popular Ramadhan food. Sunday May 13 2012 adalah date line dari artikel koran dibawah ini. Danish di bawah ini.
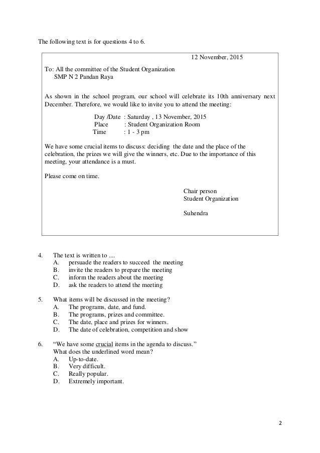
Blind Date adalah situasi dimana kita kencan romantis dengan orang yang belum kita kenal sama sekali. Bahasa Inggris nya hari Selasa yaitu Tuesday. Yuk simak paparan di blog ini karena kita akan membahas tidak hanya bahasa Inggrisnya ilmu pengetahuan alam tapi juga mata pelajaran sekolah lainnya dan jurusan-jurusan di universitas.
Saat berbuka puasa ngga sah rasanya jika tidak berbuka dengan kurma. Bahasa Inggris nya hari Senin yaitu Monday. Kita langsung aja yuk tonton videonya Mr.
Kurma dalam bahasa Inggris disebut date. Senin umumnya adalah hari pertama masuk kerja dan sekolah serta termasuk dalam weekdays yaitu hari kerja. Sebelum memulai hal yang perlu diketahui dari membaca waktu dalam Bahasa Inggris adalah ada berbagai macam cara untuk membacanya.
Cara pengucapan Monday adalah mandei. Kurma dalam Bahasa Inggris adalah date. Bahkan ada nama bulan yang dalam bahasa Indonesia sama dengan nama bulan dalam bahasa Inggris yaitu April September dan November.
Bisa juga kalian bilang early breakfast atau pre-dawn meal tapi lebih pas menggunakan suhoor. Blind Date adalah salah satu kata yang berhubungan dengan cinta. Format ini ditulis dalam angka.
Tersedia ragam kegiatan dalam belajar bahasa inggris dan untuk melatih diri untuk memperkenalkan nama-nama keluarga dalam bahasa Inggris. To play this quiz please finish editing it. Tahukah kamu bahasa inggrisnya ilmu pengetahuan alam.
I had a fun holiday last year in Medan yang artinya Liburan saya menyenangkan tahun lalu di Medan. Misalnya saja bulan Januari bahasa Inggrisnya adalah January. Bahasa Inggris dari ilmu pengetahuan alam atau IPA adalah natural science atau science saja.
Monday was the first day I entered school. Deadline itu arti sebenarnya adalah garis mati. 2019 May 25.
1998-04-23 Menunjukkan tanggal 23 bulan april tahun 1998 1990-12-25 Menunjukkan tanggal 25 bulan Desember tahun 1990 Sedangkan sebagian orang di Asia menuliskan tanggal dengan format berikut. Kurma Kurma itu bahasa Inggrisnya adalah date date fruit atau palm fruit. Istilah Permainan Sepak Bola Dalam Bahasa Inggris Dan Artinya Sepak bola adalah cabang olahraga yang menggunakan bola yang umumnya terbuat dari bahan kulit dan dimainkan oleh dua tim yang masing-masing.
Pada nama bulan dalam bahasa Inggris nama-namanya tidak jauh berbeda dengan nama-nama bulan dalam bahasa Indonesia. Contoh penggunaan untuk up-to-date di bahasa Indonesia. Bahasa Inggris dituturkan sebagai bahasa pertama oleh mayoritas penduduk di berbagai negara termasuk Britania Raya Irlandia Amerika Serikat Kanada Australia Selandia Baru dan sejumlah negara-negara Karibia.
Kalimat ini berasal dari sumber eksternal dan mungkin tidak akurat. Yup maksud dari kata blind disini bukanlah buta yang sesungguhnya. Bahasa Inggrisnya Kamu Selalu Ada Dihatiku.
Dan dia melakukan cara di atas jauh-jauh hari sebelum presentasi artikel untuk Journal Club di lab meetingPaper dikasih sama cikgu kecil bahasa sandi kita untuk nyebut professor assistant yang selalu kasih artikel dari jurnal dengan satu kata di atas yang terkenal susah. DATE LINE Arti date line tulisannya dipisah ya boooo bukan disambung adalah tulisan tanggal diatas berita di media cetak media elektronik dan surat. Awalnya digunakan di dunia pers.
Bahasa Inggris adalah bahasa Jermanik yang pertama kali dituturkan di Inggris pada Abad Pertengahan Awal dan saat ini merupakan bahasa yang paling umum digunakan di seluruh dunia. Sahur dalam Bahasa Inggris adalah suhoor. Contoh ungkapannya seperti Semoga liburan menyenangkan terjemahan bahasa Inggrisnya Have a fun holiday.
Jelas untuk membaca artikel setingkat Cell Nature Science bakal kesusahan. Layanan gratis Google secara instan menerjemahkan kata frasa dan halaman web antara bahasa Inggris dan lebih dari 100 bahasa lainnya. Ini dalam bahasa Inggrisnya adalah forgive me for any mistakes I have made against you atau bisa juga please forgive me for any mistakes that I have made in the past.
Oleh karena itu berikut akan dijelaskan tentang cara membaca waktu dalam bahasa Inggris dan artinya. This quiz is incomplete. Bukan date kencan ya.
Membaca waktu dalam bahasa Inggris bisa terbilang gampang-gampang susah. Babla tidak bertanggung jawab atas isinya. Dia mengaku skor TOEIC-nya di bawah 750.
Tapi bahasa Inggrisnya memang sama. 19 Questions Show answers. Walaupun gampang bagi sebagian orang hal ini bisa sangat membingungkan.
Cara efektif untuk melatih kemampuan ini adalah melalui praktik langsung dengan kegiatan simulasi atau role play. Bahasa Inggrisnya liburan yang menyenangkan adalah a fun holiday.
Tugas Bahasa Inggris Foods Cookbooks Food Wine
Cara Penulisan Tanggal Dalam Bahasa Inggris Belajar Bahasa Inggris Online Belajar Bahasa Inggris Online
First Date Terjemahan Dalam Bahasa Indonesia First Date Dalam Sebuah Kalimat Dalam Bahasa Inggris
Arti Kata Up To Date Dalam Kamus Inggris Indonesia Terjemahan Dari Bahasa Inggris Ke Bahasa Indonesia Kamus Bahasa Inggris Ke Bahasa Indonesia
Cara Penulisan Tanggal Dalam Bahasa Inggris Indonesia
Gmes English Telling Day Date Month And Year Menyatakan Hari Tanggal Bulan Dan Tahun Dalam Bahasa Inggris
Materi Bahasa Inggris Cara Membaca Dan Menulis Tanggal Dalam Bahasa Inggris Disertai Soal Latihan
5 Arti Kata Date Di Kamus Bahasa Inggris Terjemahan Indonesia Lektur Id
Mengenal Tanggal Date Bahasa Inggris Bahasa Inggris Smp Mts
Days Months Years And Dates Bahasa Inggris Kelas 7 Smp Youtube
54 Nama Buah Dalam Bahasa Inggris Dari A Z
Arti Kata Date Dalam Kamus Inggris Indonesia Terjemahan Dari Bahasa Inggris Ke Bahasa Indonesia Kamus Bahasa Inggris Ke Bahasa Indonesia
Soal Uas Pas Bahasa Inggris Kelas 8 Dimensi Bahasa Inggris
5 Frasa Bahasa Inggris Yang Menggunakan Kata Date Gak Cuma Kencan
Cara Penulisan Tanggal Dalam Bahasa Inggris Yang Benar Daftar Pustaka
Contoh Terjemahan Bahasa Inggris Kartu Tanda Penduduk Ktp
Arti Kata Due Date Dalam Kamus Inggris Indonesia Terjemahan Dari Bahasa Inggris Ke Bahasa Indonesia Kamus Bahasa Inggris Ke Bahasa Indonesia
Istilah Istilah Ramadhan Dalam Bahasa Inggris Bahaso

0 Response to "30+ Date Bahasa Inggrisnya Adalah"
Post a Comment